2.グレア(Glare)について
1)グレアとは?
誰もいない夜道をドライブ中、ハイビームで走っていても歩行者がいたり対向車が来た場合にはロービームに切り替えますね。
なぜでしょうか?
それは、ハイビームに照らされた歩行者や対向車のドライバーが眩しさのため幻惑され思いかけない行動をとったりすると危険だからです。あ、眩しい。ととっさに歩行者が車道側に傾いたり、ドライバーがハンドルを切りそこなったりすると危ない。ということですね。



この時感じる、不快な眩しさのことをグレアと言います。
人間の目は、視野内に輝度が高い光がはいると眩しさを感じます。特に前例のように、暗いところでは、輝度の高い光を浴びると明るいところに比べて、かなりの不快を感じます。
照明の設置場所や照明器具の選択には、極力このグレアを与えないように配慮することが大切です。
このグレアは、単に不快感を感じさせるだけではなく、眼精疲労の原因になり眼の障害を起こすことにもつながります。また、何より不快で疲労をもたらす環境下で長時間、勉強や作業を強いることは、健康や精神疾患につながる恐れもあります。
これまで、我が国の照明は欧米に比べて、明るい照明を良しとする傾向もあり、このグレアは軽視されがちでしたが、特にLED照明になり LEDチップが直接見えたりすることもあるため、明るさの選択とともに、グレアを考慮することがますます重要になってきています。
定性的なことで恐縮ですが、欧米の家庭は一般に部屋の中が日本に比べて暗い部屋が多く、このグレアを気にする習慣があるせいなのか、公共の場においてもグレアが少ない照明を選ぶ傾向にあるのでは?と思っています。
しかし、日本では明るい=良い照明という認識が強いようで、グレアを気にする傾向が低いようです。
LEDは指向性が強く、発光面が小さくても眩しさを感じやすい場合もあります。特に高輝度の照明が直接目に届く場合には、この照明を注視すると、直接グレアが生じやすいことになります。
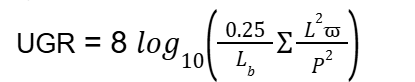
2)グレアの表現方法 UGR(Unified Glare Rating) 法について
UGR(Unified Glare Rating:統一グレア評価)は、CIE(国際照明委員会)によって定義された「不快グレアの評価方法」で、CIE 117:1995 "Discomfort Glare in Interior Lighting"
として規格化されています。このUGRはCIEのさまざまな文書やEN規格(EN 12464-1 室内作業場の照明など)で利用され、多くの照明器具ではUGR<18 などの形で使われます。
式は、

L :光源の輝度(cd/m²)
ω:光源が観測点から張る立体角(sr)
ρ :位置指数(光源と視線方向の位置関係を表す係数、単位なし)
Lb :背景輝度(cd/m²)
JIS Z 9125(屋内作業場の照明基準)表7では、
例えば、(一部抜粋)
のように許容できるUGRの制限値を示しています。この表では、望ましい演色性が出ています。この3つの、照度、グレア、演色性は、部屋全体の明るさではなく、光の品質を指し示していることがわかりますね。
3)UGR数値の解釈
上記UGRのLimit(グレア制限)を見ると、簡単な作業などの行う環境は22で、精密な作業や病室の数値が19になっていることがおよそ見えてきます。
また、それ以上の環境の場合には 16以下が推奨されています。
通常の作業環境 < 22
精密な作業環境、病室 <19
超精密な作業、医療室 < 16
これを目指すことが良い照明環境なのだと思います。もし、照明環境が16以下であるならば、それは最高に品質の良い環境で目指す目標値と言えるでしょう。
明るければ良い。と思いがちでしたが、明るさも要求される環境において様々です。逆に眩しい、顔を照らし、対象面を照らさない照明は注意が必要です。
LED照明によって不快な、適していな適していない環境を作り出している可能性があります。
4)グレアの生じるメカニズムについて
冒頭の例の様に、グレアは発光体から直接目に飛び込んでくる明かりが眩しさを生み出します。全体が明るいという明るさではなく、目の中に入る光が問題です。サッカーの国際試合では、レーザーポインターでPKなどを妨害した例もありますし、また、野球の試合では、打席に立つ選手や投手に向かってレーザーポインターを向けた例があり問題になった例があります。レーザーポインター自体はそんなに大きな発光体ではありませんが、焦点を目に絞れば遠くからでも眩しさを引き起こせる例ですね。
つまり、照明が大きなルックスだろうが、小さいからと言って、大きいルックス(明るい照明)だけが眩しさを引き起こすわけではないことに注意が必要です。
上記の例はレーザーだろう?LEDは違うのでは、と思われ方もいると思いますが、LEDもやはり小さなChipが明るく光りますので、集合として従来の電球のように見えますが、どちらかというとレーザーに近く集中して光が発光しますので注意が必要です。
図のように、発光源から直接目に飛び込んでくる光が眩しさ、グレアを作ります。
図2 グレアを感じる光


じゃあ、発光源が明るければ、グレアが生じてくるの? 明るい照明は皆大きいグレアが出るの? と疑問が生じると思います。
ここで、必要な明るさとは何かという問いが重要になってきます。
必要な明るさとは
対象面を明るくする光かりのことです。
つまり、図2であらわす、照度面が問題で、人の目に直接飛び込んでくる光の明るさではありません。
机で何か作業をしているとき、手先や、対象物が明るいことが重要ですが、眩しい光を顔に当てて欲しいとは思いませんよね。却って眩しくて見にくい。
つまり、照らすべきは対象面であって、顔ではない。それに従えば、光の配光が大切で、極端に言えば欲しいところだけを明るく照らすようにする。それが必要な明るさです。
図3遮光角と抑角の関係

もし、光源が丁度照射面だけをカバーするように図3のように光が出て、黄色の光のラインからでないように配光がコントロールされていた場合を想定してみます。
この場合は、光源がどんなに明るく、大きな光束値を持っていたとしても、すべてが照射面なのですから、そこにいる人の顔には光が当たりません。
現実には、このように完全なコントロールはできませんが、このことにより、照射面は明るく、かつ、グレアの小さな光源が可能となります。
5)実際の光源(照明器具)の配光について
詳しくは、別の章で述べますが、光源の配光は、様々な形でコントロールされます。
a) LEDチップ実装
まずは、LEDチップの接着状況です。どんな形でアッセンブリされているかによって、チップが同じでもその出方が異なります。チップの正、負の接続にワイヤボンディングがされて

いたりすると、それが光を遮りますし、何か反射するようなマテリアルが傍に有れば、光の出方が変わってきます。
b) シェードや、カバー
ランプには、シェードやカバーがついていますが、その中で反射することで配光がせいぎょされることで、外には配光コントロールされた光が出てきます。ただ、この場合にしても、実際は、シェードの端から光が出るために、上記の理想の形で光が出てきません。写真のように、漏れた光は眩しい光となって目に届くことになります。
グレアが発生していることがわかります。
照明器具の選定は、光源の明るさよりは、照度そしてグレアが大切です。
6)反射のグレア( Reflected Glare)
実はグレアには光源から直接まっすぐに飛び込んでくるグレアの他に、反射のグレアううらがあります。照明器具からの光が物体表面(例: 机、床、ディスプレイ画面、紙面など)で反射し、視界に不快な明るさやまぶしさを生じさせる現象です。
太陽光が何か鏡のようなもので反射し、眩しい!!と感じた方は多いと思います。直接太陽を見たらもちろん眩しいのですが、反射のグレアも眩しいものです。輝度の高いLEDと反射面が鏡に近いとこのような現象がうまれます。
配光をコントロールせずに、明るさだけを追い求めて明るい照明を導入した結果、反射のグレアが多くて色々な角度からグレアを感じる。そんなことがないような照明選択が望まれます。
図6 床面からの反射グレア




コメント